The antibiotic cefazolin is an essential drug according to the World Health Organization (WHO). It is usually produced via batch manufacturing. Now
Imagine researchers exploring a dark room with a flashlight, only able to clearly identify what falls within that single beam. When it
Every motor we use needs a magnet. University of Manitoba researcher Rachel Nickel is studying how rust could make those magnets cheaper
Despite decades of decline, a genetic analysis of ruffed grouse reveals that Pennsylvania's state bird harbors more genetic diversity and connectivity than
While many bacteria become inactive during dry spells, specific groups persist and even thrive. A new study, published in Nature Communications and
In nonlinear dynamic systems, a change in one place can trigger an outsized change elsewhere. The climate, the workings of the human
Ocean acidification will likely almost triple by the end of the century—a drastic environmental change that could impact important marine species like
In the "weather kitchen," the interplay between the Azores High and Icelandic Low has a substantial effect on how much warm water
An international team of scientists led by microbiologist Alexander Loy from the University of Vienna has discovered a new intestinal microbe that
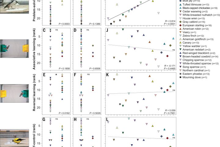
The European starling boasts a remarkable repertoire. Versatile songbirds that learn warbles, whistles, calls, and songs throughout their lives, starlings rank among
An international team of scientists has successfully conducted large-scale helicopter-based observations along the coast of East Antarctica and has identified pathways through